Pigment Red 176-Corimax Red HF3C
Lista parametrów produktu
| Indeks kolorów | Pigment Red 176 |
| Nazwa produktu | Corimax Red HF3C |
| Kategoria produktu | Pigment Organiczny |
| Numer CAS | 12225-06-8 |
| Numer UE | 235-425-2 |
| Rodzina chemiczna | Benzimidazolon |
| Waga molekularna | 572.57 |
| Formuła molekularna | C32H24N6O5 |
| Wartość PH | 7 |
| Gęstość | 1.6 |
| Absorpcja oleju (ml / 100 g)% | 40-60 |
| Odporność na światło (powłoka) | 6 |
| Odporność na ciepło (powłoka) | 180 |
| Odporność na światło (tworzywo sztuczne) | 6-7 |
| Odporność na ciepło (tworzywo sztuczne) | 250 |
| Wodoodporność | 5 |
| Odporność na olej | 5 |
| Kwasoodporność | 5 |
| Odporność na alkalia | 4-5 |
Kolor | ![]() |
| Rozkład odcienia |
Cechy:
Pigment Red 176 to genialny niebieskawy odcień pigment o wysokiej wydajności, o doskonałej odporności, wysokiej odporności termicznej, przezroczystości i odporności na migrację.
TDS (czerwony pigment 176) MSDS(Pigment Red 176)Podanie:
Zalecany do farb przemysłowych, farb proszkowych, past drukarskich, PCW, gumy, PS, PP, PE, PU, farb na bazie wody, farb rozpuszczalnikowych, farb UV.
Zalecany do farb samochodowych, powłok architektonicznych, powłok cewek, farb offsetowych.
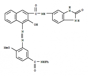
Struktura molekularna:

Fizyczne i chemiczne właściwości: niebieski i czerwony. Odporność na światło wynosi poziom 6. Stabilność termiczna wynosi powyżej 300 ℃. Odporność na rozpuszczalniki organiczne sięga 4 do 5 gatunków, bez migracji.
Zastosowanie produktu: Używany głównie do barwienia tworzyw sztucznych.
Pigment Red 176 Specyfikacja :
2-naftalenokarboksyamid, N- (2,3-dihydro-2-okso-1H-benzimidazol-5-ilo) -3-hydroksy-4- [2- [2-metoksy-5 - [(fenyloamino) karbonylo] fenyl ] diazenyl] - jest związkiem organicznym o wzorze C32H24N6O5. Systematyczna nazwa tej substancji chemicznej to 3-hydroksy-4- [2-metoksy-5- (fenylokarbamoilo) fenylo] azo-N- (2-okso-l, 3-dihydrobenzimidazol-5-ilo) naftaleno-2-karboksyamid. Pod numerem rejestru CAS 12225-06-8 jest również nazywany N- (2,3-dihydro-2-okso-1H-benzimidazol-5-ilo) -3-hydroksy-4 - [[2-metoksy- 5 - [(fenyloamino) karbonylo] fenylo] azo] naftaleno-2-karboksyamid. Kategoria produktu to organiczne.
Właściwości fizyczne około 2-naftalenokarboksyamidu, N- (2,3-dihydro-2-okso-1H-benzimidazol-5-ilo) -3-hydroksy-4- [2- [2-metoksy-5 - [(fenyloamino) karbonyl ] fenylo] diazenylo] - są: (1) ACD / LogP: 6,96; (2) # zasady 5 naruszeń: 4; (3) ACD / LogD (pH 5,5): 6,95; (4) ACD / LogD (pH 7,4): 6,95; (5) #H akceptory obligacji: 11; (6) Dawcy obligacji #H: 5; (7) # Obrotowe obligacje: 8; (8) Pole powierzchni polarnej: 153,51 Å2; (9) Wskaźnik refrakcji: 1,721; (10) Refrakcyjność molowa: 157,67 cm3; (11) Objętość molowa: 398,6 cm3; (12) Polaryzowalność: 62,5 × 10–24 cm3; (13) Napięcie powierzchniowe: 61 dyn / cm; (14) Gęstość: 1,43 g / cm3; (15) Temperatura zapłonu: 357,3 ° C; (16) Entalpia parowania: 101,63 kJ / mol; (17) Temperatura wrzenia: 667,2 ° C przy 760 mmHg; (18) Prężność par: 2,05E-18 mmHg w 25 ° C.










